728x90
반응형
들어가기전, 큐
https://devfunny.tistory.com/710
큐 (Queue)
큐 - 선입선출 : 먼저 들어 온 데이터가 먼저 나가는 형식 예제코드 import java.util.LinkedList; import java.util.Queue; /** * Queue */ public class M2_Queue { public static void main(String[] args) {..
devfunny.tistory.com
BFS
- 너비 우선 탐색
- 그래프에서 가까운 노드부터 우선적으로 탐색하는 알고리즘이다.
- 큐 자료구조를 이용한다.
[수행 과정]
1) 탐색 시작 노드를 큐에 삽입하고 방문 처리를 합니다
2) 큐에서 노드를 꺼낸 뒤에 해당 노드의 인접 노드 중에서 방문하지 않은 노드를 모두 큐에 삽입하고 방문 처리한다
3) 더 이상 2번의 과정을 수행할 수 없을 때까지 반복한다
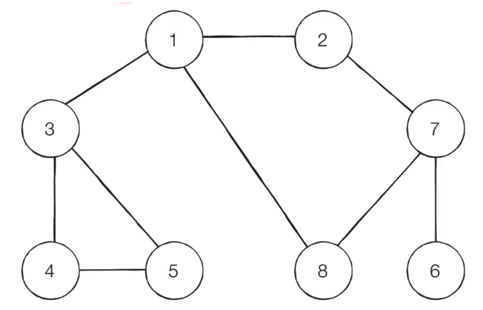
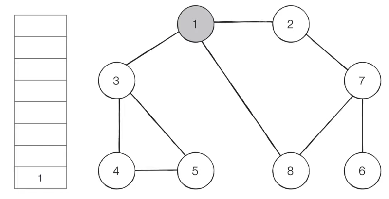
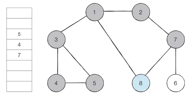
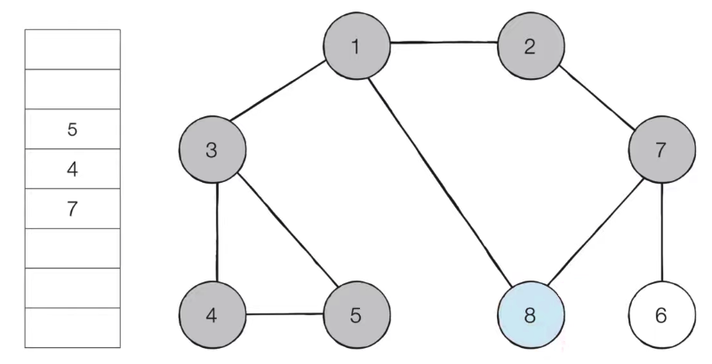
BFS 동작 예시
0) 아래 그래프를 번호가 낮은 인접 노드부터 방문한다.

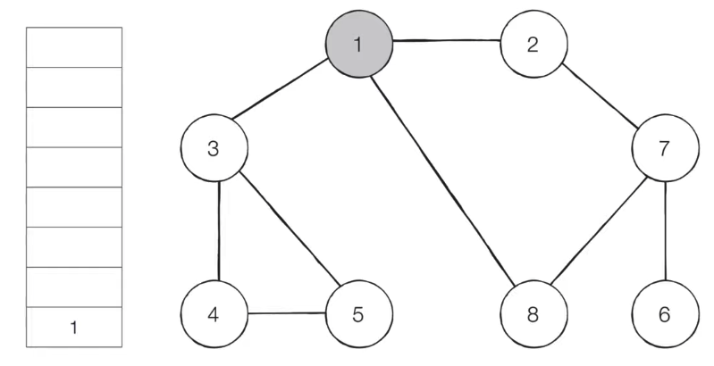
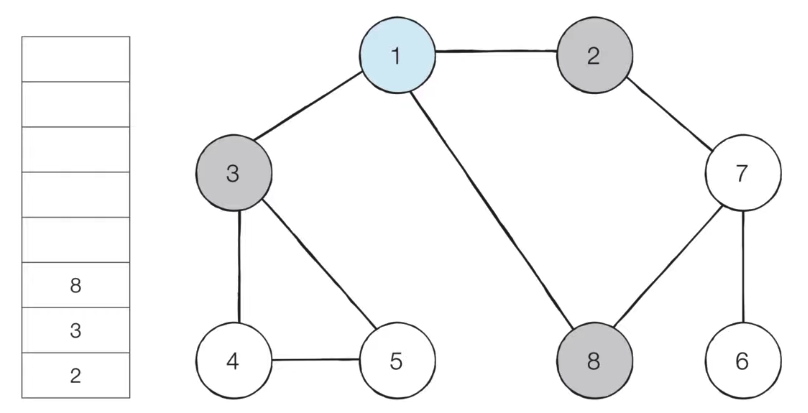
1) 노드 '1'을 큐에 삽입하고 방문한다.

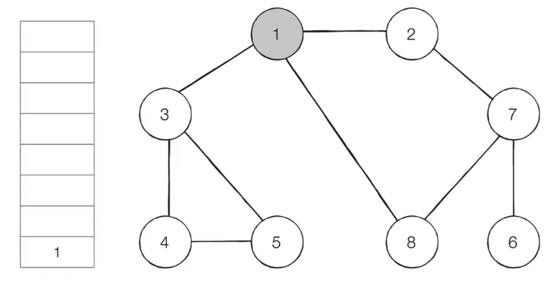
2) 노드 '1'을 꺼낸다. 그리고, 노드 '1'에 인접 노드인 '2', '3', '4' 를 큐에 삽입하고 방문 처리한다.

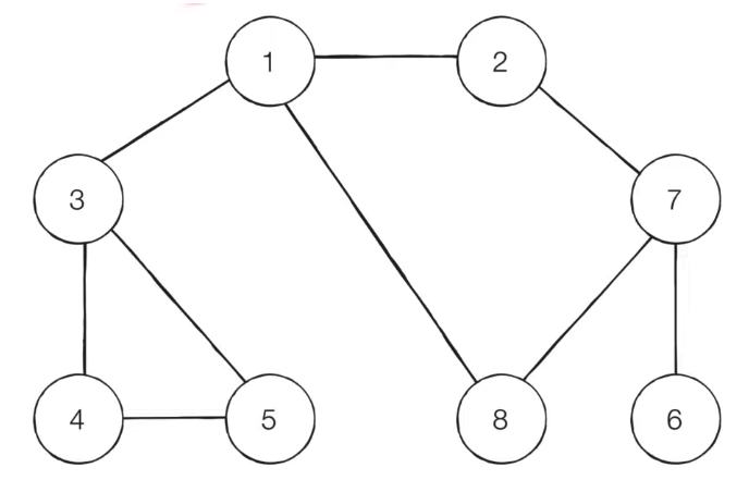
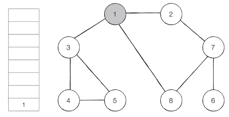
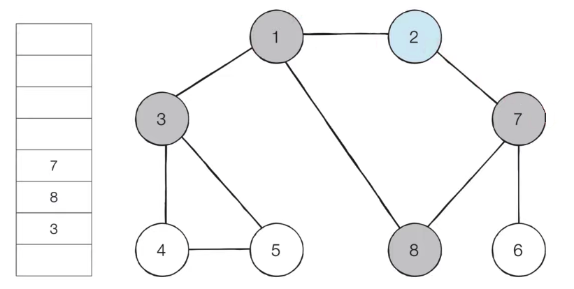
3) 큐에서 노드 '2'를 꺼낸다. 그리고, 노드 '2'에 인접한 노드 '7'을 큐에 삽입하고 방문 처리한다.

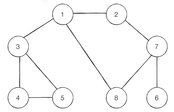
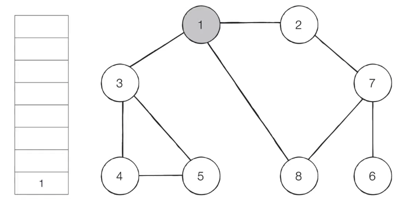
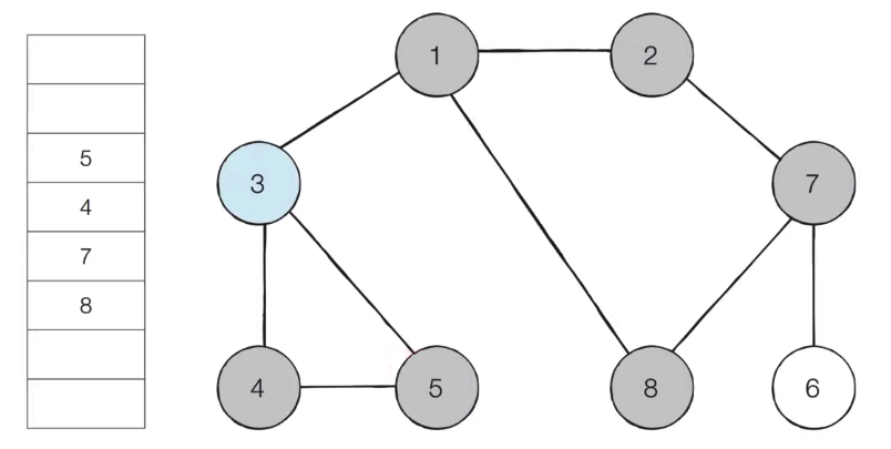
4) 큐에서 노드 '3'을 꺼내고, 방문하지 않은 인접 노드 '4', '5'를 큐에 삽입하고 방문 처리한다.

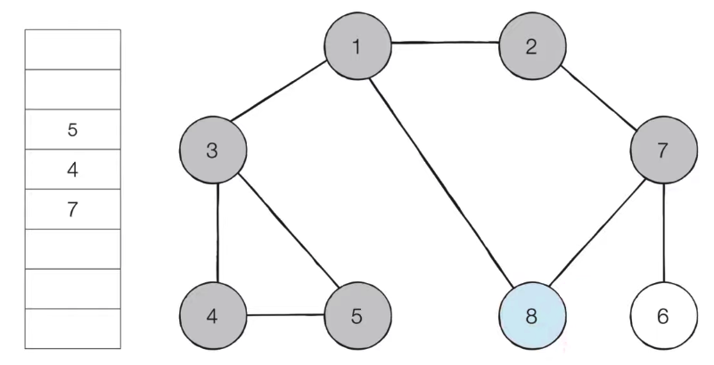
5) 큐에서 노드 '8'을 꺼내고, 방문하지 않은 인접 노드가 없으므로 무시한다.

6) 이러한 과정을 반복한다.
결과

BFS 구현코드
import java.util.ArrayList;
import java.util.LinkedList;
import java.util.Queue;
/**
* BFS
*/
public class M8_BFS {
// 방문 여부
public static boolean[] visited = new boolean[9];
// 그래프
public static ArrayList<ArrayList<Integer>> graph = new ArrayList<ArrayList<Integer>>();
// DFS 함수 정의
public static void bfs(int start) {
Queue<Integer> q = new LinkedList<>();
q.offer(start);
// 방문처리
visited[start] = true;
// 큐가 빌때까지 반복
while(!q.isEmpty()) {
// 큐에서 원소를 뽑는다.
int x = q.poll();
System.out.println(x + " ");
// 해당 원소와 연결된, 아직 방문하지 않은 원소들을 큐에 삽입한다.
for (int i = 0; i < graph.get(x).size(); i++) {
int y = graph.get(x).get(i);
if (!visited[y]) { // 방문하지 않았을 경우 실행
q.offer(y);
visited[y] = true;
}
}
}
}
public static void main(String[] args) {
// 그래프 초기화
for (int i = 0; i < 9; i++) {
graph.add(new ArrayList<Integer>());
}
// 노드 1에 연결된 노드 정보 저장
graph.get(1).add(2);
graph.get(1).add(3);
graph.get(1).add(8);
// 노드 2에 연결된 노드 정보 저장
graph.get(2).add(1);
graph.get(2).add(7);
// 노드 3에 연결된 노드 정보 저장
graph.get(3).add(1);
graph.get(3).add(4);
graph.get(3).add(5);
// 노드 4에 연결된 노드 정보 저장
graph.get(4).add(3);
graph.get(4).add(5);
// 노드 5에 연결된 노드 정보 저장
graph.get(5).add(3);
graph.get(5).add(4);
// 노드 6에 연결된 노드 정보 저장
graph.get(6).add(7);
// 노드 7에 연결된 노드 정보 저장
graph.get(7).add(2);
graph.get(7).add(6);
graph.get(7).add(8);
// 노드 8에 연결된 노드 정보 저장
graph.get(8).add(1);
graph.get(8).add(7);
bfs(1);
}
}
반응형
'Algorithm' 카테고리의 다른 글
| 다이나믹 프로그래밍 (0) | 2022.03.07 |
|---|---|
| 이진 탐색 (Binary Search) (0) | 2022.03.07 |
| 큐 (Queue) (0) | 2022.03.07 |
| DFS (Depth-First Search) (0) | 2022.03.07 |
| 스택 (Stack) (0) | 2022.03.07 |