들어가기전, 스택 (Stack)
https://devfunny.tistory.com/708
스택 (Stack)
스택 1) 선입후출 : 먼저 들어온 데이터가 나중에 나가는 형식 예제코드 import java.util.Stack; /** * Stack */ public class M1_Stack { public static void main(String[] args) { Stack stack = new Stack<>..
devfunny.tistory.com
DFS
- 깊이 우선 탐색
- 그래프에서 깊은 부분을 우선적으로 탐색하는 알고리즘이다.
- 스택 또는 재귀함수를 사용한다.
[수행 과정]
1) 탐색 시작 노드를 스택에 삽입하고 방문 처리를 한다.
2) 스택의 최상단 노드에 방문하지 않은 인접한 노드가 하나라도 있으면 그 노드를 스택에 넣고 방문 처리한다.
방문하지 않은 인접 노드가 없으면 스택에서 최상단 노드를 꺼낸다.
3) 더 이상 2번의 과정을 수행할 수 없을 때까지 반복한다.
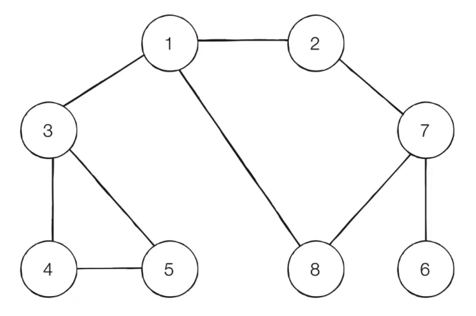
DFS 동작 예시
0) 아래 그래프를 번호가 낮은 인접 노드부터 방문한다.

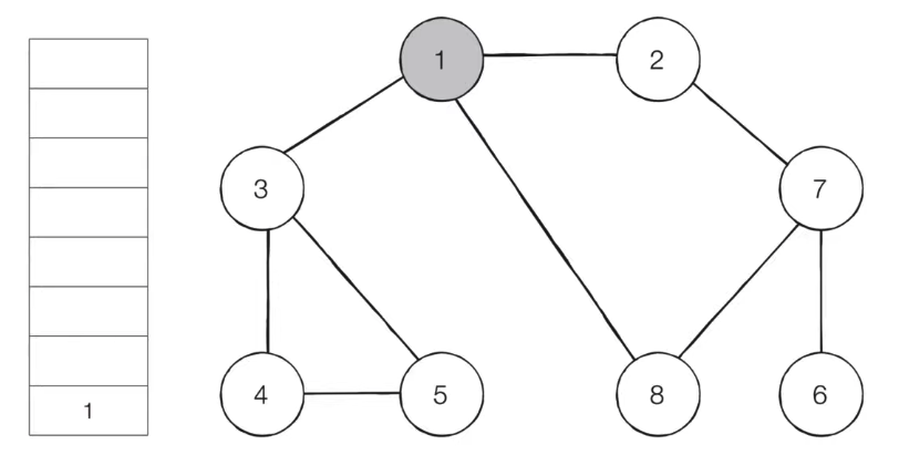
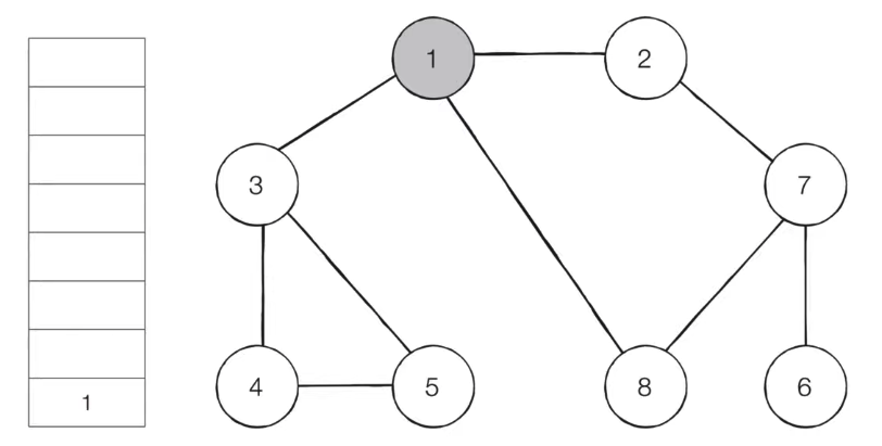
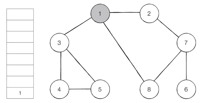
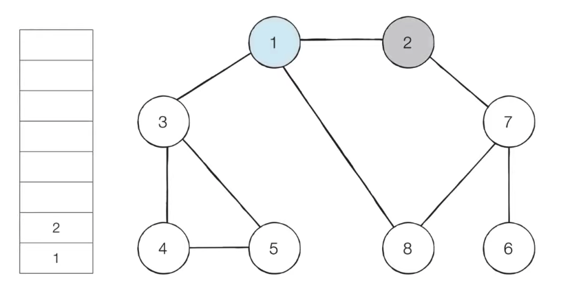
1) 노드 '1' 방문

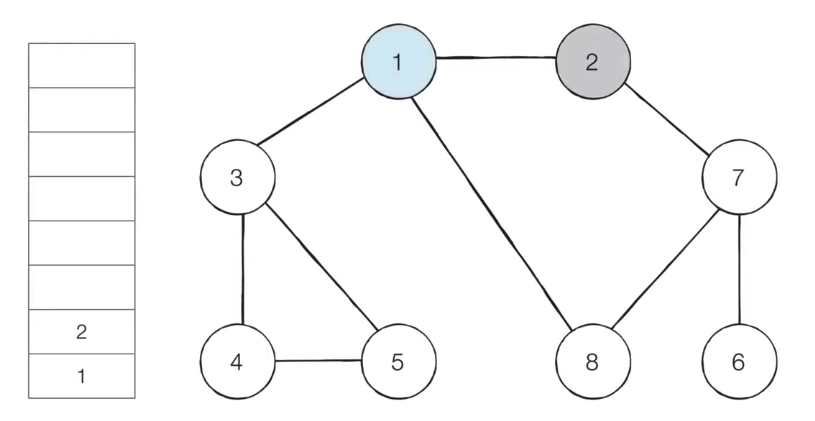
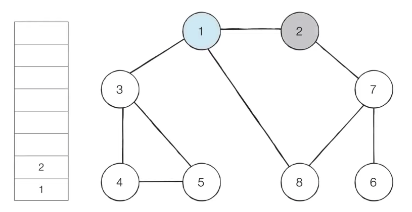
2) 노드 '2' 방문
- 방문 노드 '1'의 인접 노드인 '2', '3', '8' 중 가장 작은 노드의 '2'를 방문한다.

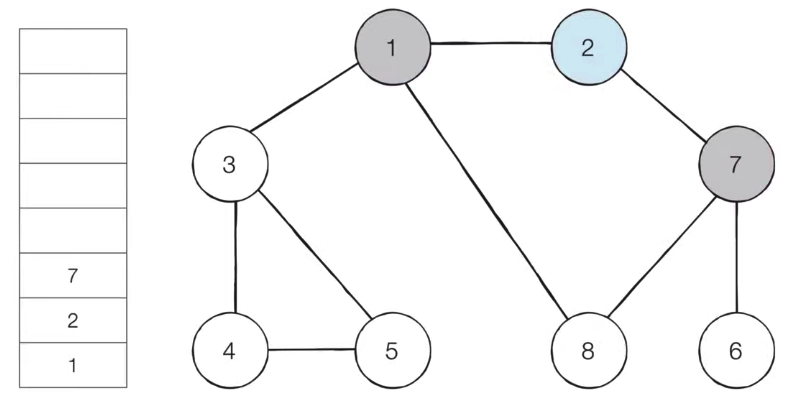
3) 노드 '7' 방문
- 노드 '2'에 방문하지 않은 인접 노드 '7'를 방문한다.

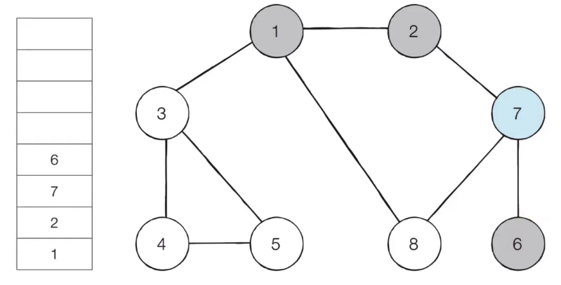
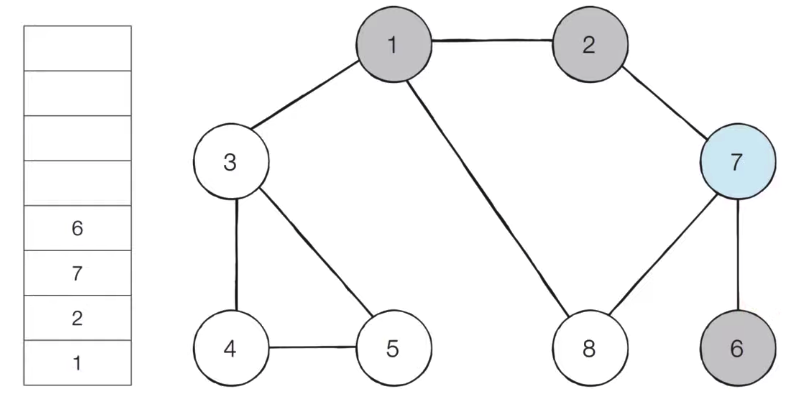
4) 노드 '6' 방문
- 노드 '7'의 인접노드 '6', '8' 중에서 가장 작은 '6' 노드를 방문한다.

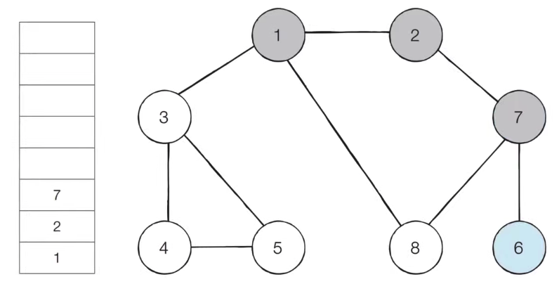
5) 노드 '6' 을 꺼낸다.
- 스택의 최상단 노드인 '6'에 방문하지 않은 인접노드가 없다.

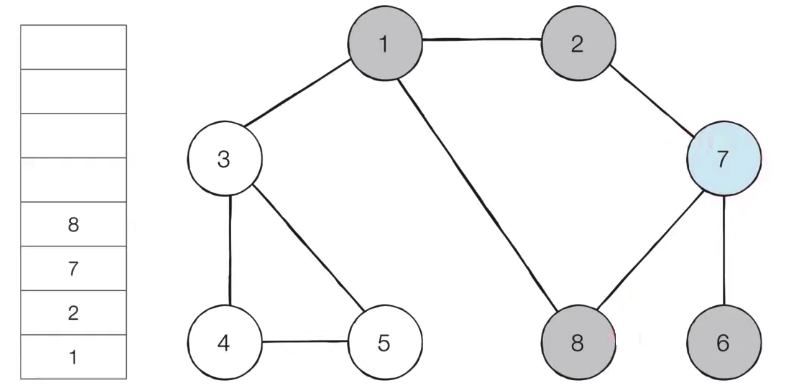
6) 노드 '8' 방문
- 스택의 최상단 노드인 '7'의 인접 노드이면서, 방문하지 않은 노드 '8'을 방문한다.

7) 위 과정을 모든 노드를 방문할때까지 반복한다.
결과

DFS 구현코드 (인접행렬)
import java.util.ArrayList;
/**
* DFS
*/
public class M7_DFS {
// 방문 여부
public static boolean[] visited = new boolean[9];
// 그래프
public static ArrayList<ArrayList<Integer>> graph = new ArrayList<ArrayList<Integer>>();
// DFS 함수 정의
public static void dfs(int x) {
// 현재 노드를 방문 처리
visited[x] = true;
System.out.println(x + " ");
// 현재 노드와 연결된 다른 노드를 재귀적으로 방문
for (int i = 0; i < graph.get(x).size(); i++) {
int y = graph.get(x).get(i);
if (!visited[y]) { // 방문하지 않았을 경우 방문
dfs(y);
}
}
}
public static void main(String[] args) {
// 그래프 초기화
for (int i = 0; i < 9; i++) {
graph.add(new ArrayList<Integer>());
}
// 노드 1에 연결된 노드 정보 저장
graph.get(1).add(2);
graph.get(1).add(3);
graph.get(1).add(8);
// 노드 2에 연결된 노드 정보 저장
graph.get(2).add(1);
graph.get(2).add(7);
// 노드 3에 연결된 노드 정보 저장
graph.get(3).add(1);
graph.get(3).add(4);
graph.get(3).add(5);
// 노드 4에 연결된 노드 정보 저장
graph.get(4).add(3);
graph.get(4).add(5);
// 노드 5에 연결된 노드 정보 저장
graph.get(5).add(3);
graph.get(5).add(4);
// 노드 6에 연결된 노드 정보 저장
graph.get(6).add(7);
// 노드 7에 연결된 노드 정보 저장
graph.get(7).add(2);
graph.get(7).add(6);
graph.get(7).add(8);
// 노드 8에 연결된 노드 정보 저장
graph.get(8).add(1);
graph.get(8).add(7);
dfs(1);
}
}'Algorithm' 카테고리의 다른 글
| BFS (Breadth-First Search) (0) | 2022.03.07 |
|---|---|
| 큐 (Queue) (0) | 2022.03.07 |
| 스택 (Stack) (0) | 2022.03.07 |
| 구현 (Implementation) (0) | 2022.03.07 |
| 그리디 (Greedy) (0) | 2022.03.07 |