728x90
반응형
그리디 알고리즘
그리디 알고리즘(탐욕법)은 현재 상황에서 지금 당장 좋은 것만 고르는 방법을 의미한다. 일반적인 그리디 알고리즘은 문제를 풀기 위한 최소한의 아이디어를 떠올릴 수 있는 능력을 요구하며, 이러한 그리디 해법은 그 정당성 분석이 중요하다. 단순히 가장 좋아 보이는 것을 반복적으로 선택해도 최적의 해를 구할 수 있는지 검토해야한다.
문제 유형을 분석하기 어렵다면, 해당 문제가 그리디 알고리즘으로 풀이할 수 있는게 아닌건지 생각해봐야한다. 그리디 알고리즘은 기준에 따라 좋은 것을 선택하는 것이므로 '가장 큰 순서대로', '가장 작은 순서대로'와 같은 기준을 알게모르게 제시해준다.
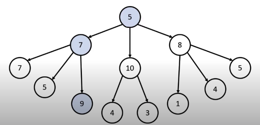
문제 상황
루트 노드부터 시작하여 거쳐 가는 노드 값의 합을 최대로 만들고 싶다.

1) 일반적인 상황에서 그리디 알고리즘은 최적의 해를 보장할 수 없을 때가 많다.
2) 하지만 코딩 테스트의 대부분의 그리디 문제는 탐욕법으로 얻은 해가 최적의 해가 되는 상황에서 이를 추론할 수 있어야 풀리도록 출제되고있다.
반응형
'Algorithm' 카테고리의 다른 글
| 스택 (Stack) (0) | 2022.03.07 |
|---|---|
| 구현 (Implementation) (0) | 2022.03.07 |
| binarySearch 이진탐색의 lowerBound, upperBound (중복 원소 중 첫번째 인덱스와 마지막 인덱스 구하기) (0) | 2021.12.26 |
| 위상 정렬 (Topology Sort) 알고리즘 (0) | 2021.12.15 |
| 최소 신장트리 알고리즘, 크루스칼 알고리즘 (Kruskal) (0) | 2021.12.15 |